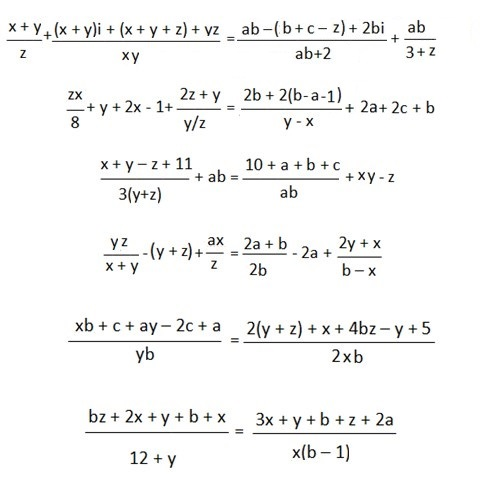
Equation pour geo cache



- Une des variables est égale à 0
- La première équation se résout dans C, les autres dans R.
- Oui, une des équations n'a que 5 inconnues

Cette box est archivées elle ne peut plus être commentée.
Poster un commentaire
Pilc
Pilc
11 ans

HAHAHAHAHAHAHAHA TROP FUN fils de pute

DoctorVlad
DoctorVlad
11 ans

PUTAIN JE ME SUIS RAREMENT AUTANT MARRE DEVANT UNE BOX GROS CONNARD

RenanM79
RenanM79
11 ans

42

anonyme
anonyme
11 ans

o_o

IMG
PonypasTrany

ça fait 12

Dimhell
Dimhell
11 ans

Tout ça pour 8 poissons

PonypasTrany

binomiales*

TimTam
TimTam
11 ans

La réponde D.

NSFW
Webcams adultes gratuites

[NSFW]Webcams adultes gratuites
go.xlirdr.com?campai - En direct

Choualbox